北京泵友圈
科技有限公司

新闻详情

能耗直降49% !丹佛斯传动背负式泵控方案助力应对算力功耗挑战

图片

随着云计算、人工智能和物联网的迅猛发展,全球数据量及算力需求呈指数级增长,直接导致数据中心能耗激增。而在数据中心的总能耗中,空调冷却系统占比高达30%40%,其中水泵能耗约占空调冷却系统的20%-30%,同时风冷方案能源利用效率(PUE)普遍在1.5以上,造成巨大的电力浪费。如何优化冷却系统能耗现已成为关键课题。

图片

1. 典型风冷数据中心结构

风冷系统中的能效优化路径

在采用风冷方案的数据中心应用中,尽管冷水机组负载特性不同地区存在差异,但大致呈现如下特点:机组长时间处于低负载工况,尤其是在10%-50%负载区间,从工作小时数占比总和来看,该低负载区间占总工作小时数的70%以上。

图片

2. 数据中心风冷方案负载特性

传统方案依赖压力/压差传感器的设置,且多以控制水泵出口近端压力恒定为控制目标。而根据相似定律可知当水泵叶轮直径不变的情况下,功率与水泵转速的三次方成正比,结合图2数据中心风冷方案的负载特性,我们判断多数时候能效并不理想,节能空间较大。

图片

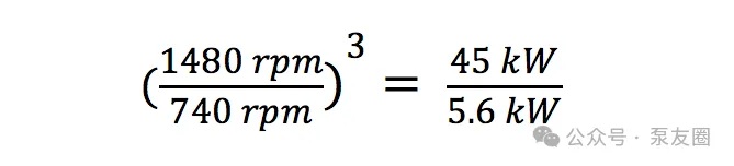
例如,当一台水泵转速从1480rpm降速一半至740rpm时,其能耗下降幅度可高达80%以上。所以如果能有一套根据实际制冷负载情况而相应调节水泵输出的控制逻辑,那么相比现方案即可实现大幅度节能。

图片

3. 相似定律

丹佛斯传动背负式变频器解决方案应运而生,在无需压力传感器的情况下,可以实现三种运行模式:泵出口恒压、远端恒压差、恒流量及其组合,并且可实现二次压力控制。     

图片

4. 丹佛斯传动背负式变频器

这与传统的将传感器置于机房,变频器单独成柜的方案相比,实测可多节约49%能耗。同时,丹佛斯传动背负式方案还具有以下优势:

  • 节省配柜成本(线材、PLC、柜体及其他周边配电相关设备),且安装、调试方便。

  • 节省传感器成本。

  • 保持最低扬程可调,最大程度保障最低制冷需求(默认为设计扬程的40%)。

  • 二次压力控制(QPC)相较比例压力控制(PPC)约可额外节能10%以上。

  • 背负式变频水泵设计点位于最佳效率点(BEP)右侧,其规格通常更小,据测算平均可额外节省约7%的泵成本和9%的能耗。


图片

5. 直线控制与二次压力控制节能幅度对比

图片

6. 不同控制模式下节能情况对比

当基于6/30kW水泵评估不同控制模式下节能情况时,我们发现丹佛斯传动背负式无传感器控制方案节能效果最为突出,且超越美国ASHRAE 90.1要求,为当下市面上能效最高的风冷泵送变频方案之一。

图片

7. ASHRAE 90.1标准

丹佛斯传动背负式解决方案的核心

VLT®HVAC DRIVE FC102/VLT® AQUA DRIVE FC202变频器

当您将水泵与背负式变频器整合后,您可以更好地根据水泵特性和数据中心应用特点做优化,同时丹佛斯传动FC102/FC202变频器也具备强大的水泵专用功能:

图片

8   VLT® AQUA DRIVE FC202变频器及泵应用

  • 无传感器泵控制:变频器将能够根据定义或测得的泵曲线来生成压力或流量此过程与不可压缩的液体一起使用时,无需额外的传感器。同时,变频器可将其无传感器数据传输给外部过程控制器。

  • 内置多泵控制器:对所有泵平均分配运行时间。因此,可将每台泵的磨损不均匀状况降至最低,从而延长其使用寿命并大幅提高可靠性。

  • 无流量/低流量检测:在运行过程中,通常泵的转速越快,则耗能越多。当泵快速运转但是未满载、没有充分耗能时,变频器可以相应给予补偿。当水循环停止、泵干转或者管道泄漏时,这个功能有很大的优点。

  • 管道填充模式:在供水系统中,受控填充管道可防止出现水锤现象或水管爆裂,且无论卧式还是立式管道系统中均可使用管道填充模式。

  • 曲线末端检测:当水泵未达到所需压力时(如出现管道泄漏等情况)变频器会启动报警或者执行其他预先设置的操作。

  • 止回阀加减速:止回阀加减速功能可通过在止回阀几乎闭合时缓慢降低泵速,有效防止在停泵时出现水锤现象。

丹佛斯传动 — 驱动绿色数字未来

图片

在数据中心追求极致能效与绝对可靠的道路上,变频器不再仅仅是一个组件或执行设备,而是您值得信赖的智能合作伙伴。丹佛斯传动背负式变频器以无传感器的简洁设计,实现了全感知的智能控制,将泵送系统的性能、能效与可靠性提升至全新的高度。让您告别复杂的传感器与不确定的控制,拥抱更简单、更聪明、更节能的泵送解决方案。

总结

面对持续增长的散热需求与双碳目标压力,数据中心冷却技术正朝着精细化、高能效、高可靠性的方向发展。以间接蒸发冷却为代表的高效风冷与以冷板/浸没式为代表的液冷技术将长期共存,共同构建下一代数据中心的冷却架构。而这一进程的实现,必须依托于集成磁悬浮等技术的高效冷却机组和全面覆盖压缩机、水泵和风机的变频器应用,通过智能化控制,最终达成极致的能源效率与运行可靠性。

如果您对丹佛斯传动背负式变频器感兴趣或希望代理产品,可扫描下方二维码:

图片

图片

邮箱:bengyouquan@126.com

微信:stephen528(验证消息:公司+职务)